| 发布日期: | 2021 年 12 月 23 日 |
| 到期日期: | 2022 年 6 月 21 日 |
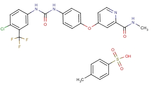
| 详细说明: |
CAS号:475207-59-1;4750207-59-1
甲苯磺酸索拉非尼 |
| CAS 登记号: | 475207-59-1;4750207-59-1 |
| 同义词: | ;SORAFENIB-D3;4-Methyl-3-((4-(3-pyridinyl)-2-pyrimidinyl)amino)-N-(5-(4-methyl-1H-imidazol-) 1-基)-3-(三氟甲基)苯基)苯甲酰胺单甲磺酸盐;N-[4-氯-3-(三氟甲基)苯基]-N'-[4-[2-(N-甲基氨基甲酰基)-4-吡啶氧基]苯基 ]尿素甲苯磺酸盐;索拉非尼TsOH盐; |
| 分子式: | C21H16ClF3N4O3·C 7H8SO |
| 分子量: | 637.03 |
| 分子结构: |
|
















