| 发布日期: | 2022 年 3 月 8 日 |
| 到期日期: | 2022 年 9 月 4 日 |
| 详细说明: |
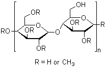
CAS号:9004-67-5
1、建筑 作为复合材料的保水剂、制砂浆的缓凝剂 2、陶瓷工业 用作 粘合剂 3、涂料工业 作为增稠剂、分散剂、稳定剂、脱漆剂 4、油墨 作为增稠剂、分散剂、稳定剂 5、塑料工业 作成型脱模剂、柔软剂、润滑剂等 6、在PVC中 在PVA生产中,作分散剂,是 气溶胶聚合制备 主要助剂PVC 7、其他 还广泛用于皮革、造纸、纺织等行业 < /td> |
| CAS 登记号: | 9004-67-5 |
| 同义词: | ;甲基纤维素;甲基纤维素;甲基纤维素;甲基纤维素;(6S)-3,4,5-trimethoxy-2-(methoxymethyl)-6-[(3R)-4,5 ,6-三甲氧基-2-(甲氧基甲基)四氢吡喃-3-基]氧基-四氢吡喃;MC; |
| 分子式: | C12H20O10 |
| 分子量: | 324.2848 |
| 分子结构: |
|
| 安全说明: | S24/25:; |
















