| 发布日期: | 2022 年 5 月 24 日 |
| 到期日期: | 2023 年 5 月 24 日 |
| 详细说明: |
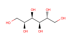
CAS号:50-70-4;98201-93-5
数量:200公吨 规格:FCC V、BP2010、USP35、EP6.0 价格:1000 美元公吨 付款方式:t/t、l/c、d/p、面议 产品名称:山梨糖醇粉 同义词:D-Glucitol, D-Sorbitol, Sorbit, Sorbol, CAS No.: 50-70-4 INS No.: 420 H.S. 代码:29054400 分子式:C6H14O6 分子量:182.2 描述:山梨糖醇是一种多元醇(糖醇),是一种大量的甜味剂,存在于许多食品中。 山梨糖醇的甜度约为蔗糖的 60%,卡路里却少了三分之一。 它的口感顺滑,带有甜、凉、宜人的味道。 规格:食品级 FCC V、BP2010、USP35 |
| CAS 登记号: | 50-70-4;98201-93-5 |
| 同义词: | ;Clucitol;D-Glucitol;D-Sorbit;D-Sorbitol;Glucitol;Gulitol;L-gulitol;Sorbit; |
| 分子式: | C6H14O6 |
| 分子量: | 182.1718 |
| 分子结构: |
|
| 安全说明: | S8:; |
















